01月14日 01:30新浪游戏
1月10日,马斯克在推特上宣布,打算让特斯拉Roadster装备火箭推进器,这样汽车就可以飞起来,就算不能长时间飞,起码是要在空中悬浮一段时间。

特斯拉要在2020年推出新的Roadster跑车,所以马斯克上述大胆想法就算实施,也都是在新的车型上了。马斯克对这个新项目进行详细的解释,车子装配SpaceX的冷气推进系统,其放置在电动车两个后座下的压力容器中,然后利用其超高气压,启动后全速推进车型飞起来。


马斯克的这个想法听起来确实很大胆,对此有外媒还进行了特别的解读,他们认为可以飞行的Roadster并不是一个只停留在想象中的产品,它还是有可能被实现的。
根据动量原理,动量的变化需要一个力,而正是这个力抵消了引力,使汽车飞起来,而为了汽车能在空中保持飞行,这意味着你每秒都是需要一个能量的,而能量进入空气的动能,取决于空气的质量和速度,那么就来看看它悬停在空中的力。

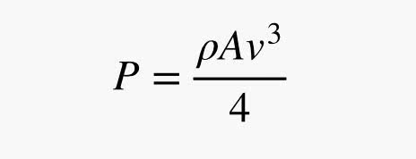
事实上,加速空气所需的功率取决于提高第三方功率对空气的提速,所以我们看到直升机,可以轻松份的飞行,就是这个到道理,而特斯拉Roadster想要飞起来同样是这个道题,所以问题就来看,后者需要多大的悬停力(悬停时需要的拉力)呢,其公式如下,其中ρ代表空气密度(约每立方米1.2公斤),而A代表转子或喷气机或其他的总截面积:

以Model 3为例,车子整重1800公斤,而转子面积是0.81平方米((根据20英寸轮辋直径计算),最后得到的是1.7兆瓦,当然车子是不可能一直停留在空中的,毕竟燃料有限。Model 3最大电池是0.075兆瓦小时,如果悬停需要1.7兆瓦,那么它可以飞行0.044小时,也就是2.64分钟。
通过简单的理论来看,虽然马斯克的想法很夸张,但是确实理论上是可以实现的,虽然飞行时间上可能不是很长。但后续优化或者改进,这已经足以让人感到疯狂了,不是吗?