感谢大家的支持和批评。目前基本上各种情况的机制模拟已经完成,剩下的就是一些具体参数的确定,比如有网友提到的降龙实际加成方式,还有瞬影的攻速系数,拳法有没有 最小间隔,佣兵的精气系数是否作用与神龙特效B的耗精等等。楼主最近没时间上游戏,等有机会了可以自己测试一下。如果有热心朋友已经有确切的数据和结论烦 请发上来,或者可靠的链接也可以。非常感谢!
楼主的时间和水平有限,本文仓促完成,很多数据和机制也不够熟悉,很多是引用之前高僧们的测试结果。如果各位发现本文的推导或者参数错误、又或者发现理论和实战经验冲突,麻烦多多指教,我尽力修改。
因为一些互相制衡以及取整机制的存在,推导过程没有计算面板DPS(加减乘除)那么简单。如果觉得看着太吃力,不妨先跳到后面的讨论部分,略过图表,看加粗、加色的小节。特别推荐讨论3,欢迎意见和建议。
对于该套装的使用,目前主要开发的是2神龙+6千飓并提取翔龙/火衣/黄道的火影加强版,以及2神龙+2千飓+深 渊裤(直接穿或提取)+其他的打拳流。本文的目的是尝试对前一种打法的输出方式进行理论分析。个人认为火影和拳法各有千秋,本文尝试根据目前PTR的主流打法对拳法流的伤害也进行了理论计算,但对不同打法的取舍请各位自己判断。
按照常理,特效A/B均为独立增伤(类似囚者/贼神宝石和猴套特效)。那么以300内力计算,满内力下拳法伤害倍数为(1+300%)*(1+300%),即16倍;瞬影打伤害倍数为4倍。
100%接触目标时间,双拳套(无攻速词缀),火瞬影,双攻速被动(通过浴火护符带春哥),带勾玉宝石,巅峰已经 点10%攻速,带回天(14精气符文,考虑黄道特效,假定常驻)。30特效火衣,被动点10%减耗。另佣兵1.1独立系数放大精气回复。带减伤黑人,即 20精气每秒。
A. 采用雷光拳20精力符文
B. 单体战斗
C. 肩膀/手套/戒指*2/一把武器(我是一把体能击回,一把体能减耗)带满减耗词缀
D. 巅峰点满精气上限,装备无精气上限,即300精气上限(250+50)。
首先我们计算雷光拳的实际平均攻速,即每秒攻击次数(Attack per Second),这里主要的不确定性来自先发制人buff和翔龙特效是否存在。还是本着举例说明的原则,以两buff都存在举例计算,但这里也给出了4种组合的攻速计算方法,方便举一反三(在上文A/B/C/D条件确定下):
有先发制人buff,有翔龙特效:1.4(拳套)*1.35(技能修正)*2(翔龙)*1.15(疾风迅雷被动)*1.25(千俱2,假定独立乘法计算)*(1+0.15+0.3+0.15+0.15+0.1)(双持/先发制人/勾玉/火瞬影/巅 峰)=10.0524次,单次攻击时间0.0995秒。
无先发制人,有翔龙:1.4*1.35*2*1.15*1.25*(1+0.15+0.15+0.15+0.1)=8.4223次(0. 1187秒)。
雷光拳每拳回复精气=(20+14)*1.1,则四种情况理论每秒最大精气回复分别为:
([10.0524 5.0262 8.4223 4.2112]*34+20)*1.1
=[397.9598 209.9799 336.9940 179.4989] 未激活神龙特效B
([10.0524 5.0262 8.4223 4.2112]*34-65)*1.1
=[304.4598 116.4799 243.4940 85.9989] 激活神龙特效B。
注意,这里假定佣兵的系数也作用于精气被动扣除;如果不作用,则所有数值+6.5,对最后结论的影响不大。
单发瞬影打的精气消耗=75*0.7*0.92*0.92*0.92*0.92*0.9*0.9=30.4646
那么看到基本所有情况下,都是有可能在激活神龙特效B的情况下,长期保持精气大于0,即特效不消失的。
另外瞬影打的实际攻速同样分情况讨论:
有先发制人,有翔龙:1.4*3*2*(1+0.15+0.3+0.15+0.15+0.1)=15.54次(0.0644秒),根据客户端数据挖掘结果(感谢玩家Ficreal提醒),限制为最大10次(0.1秒)。
有先发制人,无翔龙:1.4*3*(1+0.15+0.3+0.15+0.15+0.1)=7.77次(0.1287秒)。
无先发制人,有翔龙:1.4*3*2*(1+0.15+0.15+0.15+0.1)=13.02次(0.0768秒),同样限制为10次(0.1秒)。
无先发制人,无翔龙:1.4*3*(1+0.15+0.15+0.15+0.1)=6.51次(0.1536秒)
单体伤害的计算比较简单:
雷光拳平均单发基础伤害=(2+2+4)/3=2.66武器伤害(以下略去单位)
那么雷光拳实际最大单发伤害=2.66*4(千飓2)*4(神龙A)*4(神龙B)=170.24(以300精气计算,后面计算过程中会修正)
瞬影打最大单发伤害=125(千飓6)*4(神龙B)=500
为了与拳法流比较,这里再补充主要的A类伤害加成(因为火影流和拳法流的技能、宝石有所不同,且差异均体现在A类加成)。
雷光拳修正后最大单发伤害=170.24*(1+0.3+0.4)=289.408(八相,60级太极)
瞬影打修正后最大单发伤害= 500*(1+0.3+0.4+0.15+0.15)=1000(比拳法多出肩膀和胸甲技能伤害)
注:发现这里应该给瞬影打加上额外的1.2或1.4的元素加成,同理后面纯拳法的计算也需要加上,而火影的拳法则没有。不过应该不会影响后面的结 论,因为火影流的拳法比重比较小。本文的例子中,策略I占18%左右,那么考虑元素伤40%的情况下,总伤等效下降5%,元素伤20%则是下降2.5%。 有时间再把图改改吧。
现在提出两种理想的输出策略,并首先按最大攻速(有先发制人,有翔龙)计算。其他情况的计算,以及给定某参数下的DPS曲线稍后给出。
策略I:触发神龙B特效后,继续打拳的同时瞬影,并尽量将精气维持在较高的水平(这里假定150)以最大化拳法伤害。
该策略下DPS计算相对简单,因为精气一直不满,可以认为打拳的精气(扣除每秒65*1.1后)充分转化为瞬影打,那么瞬影打和雷光拳的次数比、换句话说伤害比则是固定的。
那么,对于每次雷光拳,造成伤害=2.66*4*2.5(150精气)*4*(1+0.3+0.4)=180.88
假定雷光拳和瞬影打动态平衡,精气维持在平均150的水平,那么记每秒雷光拳次数为N1,瞬影打次数为N2,有以下方程组:
N1*34*1.1-N2* 30.4646=65*1.1
N1*0.0995+N2*0.1=1
解得唯一解:N1=5.5556次,N2=4.4734次。注意这里没有取整的问题(假定战斗时间稍长即可将其影响减到很小)。
最后DPS=N1*180.88+N2*1000=5478.3
策略II:每次触发神龙特效B后,不打拳,只放瞬影打,然后等特效B消失(精气为0)重新打拳。
该策略计算略为复杂些,首先假定300精气上限,我们看看要多久把精气降为0,记耗时为T1。
列出方程:300=T1*65*1.1+T1*APS(瞬影打攻速=10)*30.4646,得到T1=0.7976秒。
然而注意这样对应的瞬影打次数为T1*APS=7.976次,非整数。由于精气不够的情况用瞬影打消耗次数而不是精气,所以最多用出7次,而实际降为0的时间应进行修正,记为T2。
那么300=T2*65*1.1+30.4646*7,T2=1.2133秒。
300精气下一个循环打满精气需要的拳数记为N3。
N3*34*1.1+N3*0.0995*20*1.1=300,得到N3=7.578次,此处需往上取整为8次。
按一个循环(精气从0到300再到0)计算DPS,按施放7.976次瞬影(假设可以非整数的释放技能):
每次雷光拳造成伤害=2.66*(1+4)/2(特效A,取0到300平均加成)*1(无特效B加成)*4*(1+0.3+0.4)=45.22
DPS=(45.22*8+1000*7.976)/(0.0995*8+0.7976)=5232
而按释放7次瞬影计算,则:
DPS=(45.22*8+1000*7)/(0.0995*8+1.2133)=3663.8
要更直观的理解这里、或者其他情况下的计算结果,可以考虑这几个量:拳法的平均伤害、拳法的每秒释放次数;瞬影打的平均伤害、每秒释放次数。注意这里的释放次数是考虑了整个循环。
到这里,对火影流的计算举例完毕。
先总结一些朋友给出的建议或者问题。
注1: 瞬影打3的攻速系数和0.1的最小间隔是有出处的,也符合我本人的经验。这当然值得进一步验证,但完全忽略肯定是不对的。我觉得目前的取值还算合理。
注2:评论中有玩家给出了翔龙特效作用于拳套的测试。我验算了下,4.7的面板应该是符合攻速直接乘2的假设的。
注3:雷光拳三拳的攻速系数分别是1.64/1.64/1,那么平均到每拳就是3/(1/1.64+1/1.64+1/1)=1.35。
注4:对于策略II中满精气立刻释放瞬影能不能省一次的时间的问 题,我考虑了一下,其实还不是很好简化。因为比如你能用5次瞬影,那么假设第一次立刻释放,那么最后一次打出伤害是4次的时间。但这样一个是因为取整问 题,不等于特效B的总时间直接就减少了一次瞬影打施放时间;即使这样,后面打拳攒精气阶段是不是也相应延迟呢?另外,策略I同样可以这么考虑问题。最后, 实际情况没有那么理想,如果要考虑边界条件,更好的方式可能是把手速、延迟、每次的variation都考虑,写一个随机的仿真了。作为一个懒人,我只能 说以后再弄吧,因为写出来,很可能差别没那么大,没有recount的情况下证明哪个是最准确的也有点难。
注5:评论还有玩家提到策略2每个循环可以多出耗CD而不是耗能的 瞬影打。这个建议很好,但是我想了想,提出两点来讨论。首先,用cd是很危险的做法,一旦两个都进入CD,下一个循环要推迟很久开始,浪费大量DPS。其 次,因为这里打满精气是很快的,某个循环打完一个CD后,不能保证下个循环新的CD已经刷新好了。
在讨论更多条件之前,首先给出拳法流的单体DPS计算。
策略III:纯拳法流。在技能和装备支持下,假定一直维持特效B,并且满精气,只打拳输出。
每次火伏魔破造成伤害=2.55*4*4*4*(1+0.55+1+0.15+0.15)(60级朴实,满特效挖掘裤,腰带和裤子的技能伤害)*1.1(假定拳法流词缀充裕,武器洗10%ED)=511.632
伏魔破攻击速度=1.4*1.3(伏魔破系数)*2*1.15*1.25*(1+0.15+0.3+0.15+0.1)(没有勾玉)=8.8952
那么DPS=511.632*8.8952=4551.1
对拳法流的计算举例完毕。
既然举例完毕,热身结束。下面开始讨论各种情况了。
讨论1:攻速buff的影响
接下来,可以按这个思路很简便的模拟不同最大精气和攻速下的DPS曲线。
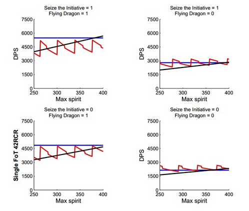
首先给出单体、雷光拳下,火影策略I/II(红/蓝)以及拳法流(黑)三种打法,在有无先发制人(Seize the Initiative,1为有,0为无)、有无翔龙特效(Flying Dragon,1为有,0为无)的四种组合下分别随最大精气(Max Spirit)的曲线图。其中Single FoT 42RCR分别指单体,雷光拳,以及面板42减耗(肩手对戒单武器巅峰)。
这里计算方法与上面的示例完全相同,只是替换不同buff下的攻速数据即可。
可见给定攻速下,满足整数次数的瞬影打的最大精气会有比较高的DPS,所以是一个锯齿Z型曲线。此外指出几点数据反映的趋势:
整体来说,攻速buff越多越好,则各种策略的DPS都越高。
攻速越快,火影策略I(红线)相对策略II(蓝线)的优势约明显。考虑到火影流翔龙覆盖率很高,无翔龙下策略II偶尔高于策略I不足以扭转策略I的巨大优势。
注:个人发现实战中策略II的问题是很可能最后没控制好,瞬影的CD打光了,然后进入尴尬的等CD期,大大降低DPS。所以根据本文的计算,在近似配装和战斗情境下,策略I的战斗方式应该是更优的。讨论2会指出该结论对多目标、伏魔破同样成立。欢迎实战木桩boss验证结论。
拳法流(黑线)的伤害随着精气上限的增加线性增加(神龙特效A),但在本设定下,合理的精气上限内与火影I差距明显,且攻速越快,差距越大。考虑到火影流翔龙覆盖率至少不低于拳法(瞬影触发翔龙的几率明显更高,别问我为什么……),差距会被进一步放大。
注意翔龙覆盖率的问题可以简化为比较有无特效的输出,然后乘以比例即可。
讨论2:多目标,雷光拳 vs. 伏魔破
讨论三种情况,单体,5个目标,10个目标。
这里计算稍微需要修改一些:
伏魔破(精气符文)的单体基础伤害为1.55
伏魔破和瞬影打都是AOE,简便起见认为两者都能完全覆盖所有目标;相对的雷光拳等效只能造成单体伤害(第三击是分摊而不是AOE)
为了方便比较数字,AOE下伤害数值不用总量(即单体*目标数),而是用总量除以目标数。这样对于伏魔和瞬影来说,单次伤害与目标数就无关了,而雷光拳需要除以目标数。
上图。
左上的2*2和第一张图是一样的。然后用线条分隔开的区域中,上排都是雷光拳,下排都是附魔破;从左到右分别是单体、5目标、10目标。
指出几点趋势:
对雷光拳火影来说,目标越多,伤害越低(拳法伤害被分摊,精气无变化);同样因为拳法伤害被分摊,越多的目标数,策略I相对策略II优势越不明显;同样目标下,攻速对优劣关系的相对影响不变(与讨论1相同)。整体来说策略I明显占优。
对伏魔破火影来说,目标越多,伤害越高(拳法伤害不变,精气增加);同样因为精气增加的原因,目标越多,策略I相对策略II优势越大;与雷光拳相似,同目标下,攻速越快,策略I相对策略II更有优势。整体来说也策略I明显占优。
跨流派比较,即比较火影I和拳法流:单目标下,雷光火影>拳法>伏魔火影;多目标下,伏魔火影>拳法>雷光火影。对不同打法的翔龙触发率不做评价。
讨论3:神龙火影流的减耗词缀意义(重要)
上面的讨论,主要涉及对流派的比较,即选取什么样的技能、套装组合。那么,如果已经选定了火影流,词缀如何取舍才能最大化伤害呢?根据我对PTR榜单前列的观察,真可谓是五花八门,看来高手们还没有一致意见。
在之前2.2版本的火影流中,减耗被认为是核心词缀,因为其不但关系到黄道刷CD的快慢,更因为它直接影响到瞬影的次数,即基本与DPS成比例。很多人(包括我自己),对减耗的优先级是认为基本等于同数值的ED的。
那么,PTR2.3加入神龙特效后,上述结论是否仍然成立呢?对此,我拿掉了两个戒指,一个武器的减耗,即只保留肩手巅峰,因为这些部位基本是不影响传统dps词缀的。这样面板还有24减耗(RCR)。还是看图。
首先要指出,不同减耗下,之前讨论1/2的主要观察没有定性的区别。
下面请比较讨论2和讨论3的图,即42RCR和24RCR的区别。
图很多,信息量不少,我就指出我认为最核心的一点。请比较对应位置的蓝线,即火影I的dps。
不难看出,42减耗相比24减耗,火影的能量利用率提高了巨大的31%,但是伤害的提高比例要小的多!基本都是10%出头的水平。
我认为两个原因:
A) 拳法本身得到了buff,占比上升。而减耗对提高拳法dps没有直接作用。
B) 这点更重要。2.3神龙瞬影流,瞬影打都是在65每秒被动扣精气的情况下打出的。2.2中每点减耗都是实打实的在原来基础百分比增加。现在在减耗达到一定 水平后,新加的词缀减少的瞬影打消耗再乘以每秒瞬影次数,相比65每秒就比较不明显了,即存在硬递减。换句话说,2.3神龙瞬影流,每一个减耗词缀,在原 基础上增加的等效减耗百分比不断递减。根据讨论3给出的数值,递减的还不是一点半点。
根据讨论C,我对减耗词缀的建议是,从纯DPS的角度来说,神龙瞬影流的减耗词缀 不足以和传统双暴抗衡,建议戒指出双暴。而考虑到减耗词缀不足,特别是神龙特效B导致总的瞬影打次数不如2.2,可能CD紧张(PTR实战过应该有体 会),建议直接从CDR上面找。理由是CDR没有硬递减,而减耗词缀对黄道特效的刷新同样有硬递减(和DPS一样,依赖于瞬影次数)。
一个大胆的建议是,肩膀CDR减耗技能,手套双暴减耗,戒指双暴CDR,武器击回CDR+击回体能/CDR。具体词缀的选取,还是看个人实战体会,我觉得只要cd转的过来,就不要堆砌CDR和减耗,而去找伤害,甚至体能。
进一步的,如果减耗在神龙瞬影流中的价值减小,那么何不直接放弃减耗,专堆CDR,用冰瞬影呢?毕竟有了魔盒,原来冰瞬影翔龙(伤害)和双持(CDR)不可兼得的困难已经迎刃而解了。
根据讨论2分别取单体和10目标AOE下瞬影流的最大DPS配置(单体雷光拳,AOE伏魔破,均用42减耗),分别比只有巅峰减耗、其他所有条件和火瞬影一样(没有火瞬影15%攻速了)的冰瞬影dps高出40%和42%(火影选用24减耗则分别是28.7%和30%)。然而冰瞬影在堆高CDR以后(和火影比,肩膀还能多出一个体能词缀),可以随心所欲的使用CD技能,用过的都知道区别。既然太极不容易保持(是指跑路的时候),可以把宝石换成奥幻,大大提高坚韧;加上冰瞬影本身的闪避效果,连锁反应是可以把真言换成致盲(29%增伤,将60级太极的损失降为5%;致盲覆盖率应该不到100%,但也差不太多)或其他技能(无敌!)。最后,冰瞬影因为不用黄道火衣,各种组合可以百花齐放,个人会选择的是元素戒+李头,前者的独立增伤(按40%算)已经足够将前面提到的火影优势抵消,而李头的加入让CDR词缀需求进一步降低,可以随意调配传统的伤害或坚韧词缀,进一步提高威力。有网友提到神龙B特效可以稳定触发翔龙,那么冰影的翔龙覆盖率也不吃亏了,有待验证。
说归说,赛季4开始我也会去试U套+狮爪啦,最理想的结果是各流派都差不多,呵呵。
结语
楼主工作较忙,就是个休闲玩家,正式服最多400级出头。这次PTR尝试了神龙+千飓后认为需要进行定量计算而不 是定性推理,才能比较可靠的选择战斗策略。评论里也有玩家提出能不能用更简便的推理得到结论。很遗憾,我自己也想这么做,但是发现不能。这里把回复中的相 关讨论附上,供参考。
玩家意见:
原理1:不穿深渊,拳法1击伤害不到瞬影1跳60%
推论1:相同策略,循环中拳法占比越多,总DPS越低
原理2:正常循环条件下,策略1比策略2每秒亏2.5-3个瞬影打
推论2:当攻速极高,使策略1与策略2的循环中两种输出时间占比接近时,策略1每秒比策略2多神龙特效下的拳法伤害,少2.5-3个神龙特效下瞬影打伤害
总结上述两条,只有策略1的1秒拳法伤害高于策略2的2.5-3神龙特效下瞬影伤害时,策略1“有可能”优于策略2。
楼主回复:
原理1大致方向是对的,其实比60%还少不少。推论1的问题是,如果攻击总次数不一样,这个结论就不成立了。
原理2应该是“同样打拳1秒”,亏85*1.1/30.5个瞬影打。但是打拳占总时间的比并不一定是一样的,那么单位时间内,不同策略打拳的总时间就不同。
对于推论2,由于推论1不成立(例子见主帖),自然就不准确了。
PS: 本文权当抛砖引玉,欢迎大家讨论,楼主会尽量将意见加入原文。对多种配装、技能的讨论也会尽量加入。非常感谢各位玩家的意见和建议。
PS2: 楼主PTR还是打了一点的,600不到的巅峰,远古武器+不到一半远古装备,神龙+千飓打到61。个人判断之后就要赌图,便不再尝试了。写这篇文也是为了分析伤害输出的可能提高方向。当然我也就是YY一下,各位神僧去试试实战吧。
PS3:好文章往往是改出来的,本文涉及的数学基本是高中左右的水平,就是需要耐心一点推导。一个人总是不免出错,在各位的帮助下,我尽量不断完善本文;如果PTR最终没有大的改动,尽量写一个大家方便用的计算器;可能的话,在大家的帮助下,加入与其他主流流派主要build的比较。