前言
血溅十方是野蛮人一直以来的王牌技能,而2.3不朽血锤的崛起也更加巩固了血溅的王者地位。与此同时,范围伤BUG的修复使得其从上个版本的鱼腩词缀,摇身一变成为了媲美双暴的。那么三者之间究竟有多大联动,又会给各BD造成多大的影响呢?
本文在前文的基础上做了一定的总结,也提出了自己的新模型,希望能够抛砖引玉,帮助哈山各位蛮神!本文计算比较繁琐,只看红字部分和图表即可,计算和文字部分仅供兴趣探讨和理论研究!
1。血溅十方对先祖之锤的收益分析
基本假设:
1)先祖之锤击中范围:半径6码圆形区域;
2)血溅十方范围:以击中怪为中心,半径15码圆形区域;
3)将先祖之锤击中圆心O视作产生所有血溅的中心以简化计算量;
4)假设先祖之锤暴击为100%。
6码,15码分别是什么概念,用论坛上流传比较广的图片感受一下:
而我们要用到的模型大致是
定义血溅区为大圆(注意不仅是圆环)。
先计算最简单的例子:
设先祖锤击中怪的数量为n,血溅区怪数的为m。
那么血溅增伤系数为:
0.667*20%*100%*(nm-n)/n=0.1334(m-1)
这意味血溅的收益近似正比于血溅区怪数!我们可以得出表1
这张表的结论是显而易见的:
1)当血溅区只有1个怪时,血溅收益为0;(只有一个怪你溅谁)
2)当血溅区有5个怪时,血溅收益已经达到0.5,相当于元素戒的平均收益;
3)当血溅区有10个怪时,血溅收益达到了1.2,接近对戒的收益;
4)当血溅区有20个怪时,血溅收益达到了2.5,相当于不朽套6件的收益;
5)当血溅区有30个怪时,每一锤的总输出由于血溅达到了接近于5倍!一锤能当五锤使,这是极为夸张的。
所以很公正的说,如何使血溅区怪数尽量多,是血锤SOLO,乃至野蛮人职业单人冲榜最需要考虑的瓶颈问题!
非常值得注意的一点是:血溅的收益近似正比于血溅区怪数,而不是击中怪数!(刀大文中的公式体现的是在对于单体的增伤收益,希望读者不要混淆)
据说重要的话要说三次,血溅的收益近似正比于血溅区怪数!
2。模型建立
由1。我们知道了血溅收益正比于血溅区怪数,那么问题来了,血溅区里到底能有多少怪呢?(即m的数量)
联想到审判锤的特效。
击中多少怪也是影响很大的一个问题(即
n的数量)容易知道m和n的大小与图的密度是有很大联动的(高密度图m和n较大,低密度图m和n较小)
我们用二元正态分布模拟这一场景,这样的假设是合理的,因为只有锤怪最密集的点才能使输出最大化。而从直观的角度来说也是可行的,不知各位在大米冲榜时有没有这样的体会:你永远不会想单锤一个王大锤,而一堆进度尚可的小怪是你最可口的美食。意识决定行为,行为造成结果。离中心越近怪越多,越远怪越少!
跳过复杂的公式假设计算(见附件),我们模型所达到的目标是:
输入: 击中怪物数量,屏幕怪物数量
输出: 血溅区怪物数量,血溅收益
简单来说该模型解决了我们一开始提出的疑问,怎样计算血溅区怪物数量,即血溅收益!我们的选择的两个参量是击中怪数和屏幕怪数。
3。模型应用
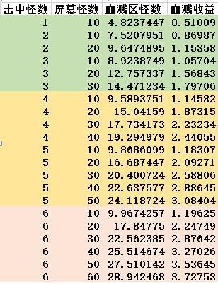
结合实际情况,我们n取了6档(1-6),其中前三档可以触发审判锤特效,用绿色标注,4-5用黄色标注,6档用红色标注。而屏幕怪数我们也取了6档。(10稀少,20一般,30偏好,40极好,50爆炸,60服务器当机)
输入各组x和n,并做假设x<=1/10n(怪多不锤少)可以得到表2:
从表中我们只能看出血溅收益是随击中怪数和屏幕怪数逐渐提升的,这结论无疑是正确的不过地球人都知道。为得到更直观的结论,我们按血溅收益大小来分类可以得到表3:
对比两表我们可以得出如下结论:
1) 在密度不理想的情况下(绿色区),血溅的收益依然很高(0.5-1.5);
2) 在密度比较理想的情况下(黄色区),血溅收益也比较理想(1.5-2.5);
3) 在高密度图(粉红色),血溅收益将放大到很可怕的地步(2.5-3);
4) 在极高密度图(红色),虽然血溅收益已经令人发指了(3-4),但考虑到服务器压力问题,只有(6,40)是值得考虑的。这时候的血溅将让你的锤子放大到4倍以上。全屏40个怪,你一次要砸中6个,骚年你的大锤是否已经饥渴难耐?
通过这一段的分析,我们大致了解了血溅收益与图密度的关系。可以看出模型的结果还是比较理想的,接下来我们来计算血溅的兄弟——范围伤!
4。模型延伸-范围伤收益计算
同样,也只用考虑
10码范围内考虑怪数(设为k,计算过程见附件)问题,再用公式(k-1)*0.2*范围伤数值计算。
用3中相同的数据,并设置50范围伤(只有巅峰)和100范围伤(大约2-3个词缀)两档,得到表4:
可以看出表4虽然看上去很繁琐,但只是在表3的基础上加了如下几点:
1)各情景下,50范围伤与100范围伤与血溅的收益对比;
2)平均收益计算。
有如下结论:
1)从平均收益可以看出,血溅收益略大于100范围伤收益,且优势随着图的密度增加而缩小,血溅约等于116.5%范围伤;
2)第一条词缀(20范围伤)收益:8.97%,第二条词缀收益:8.24%,都是强有竞争力的词缀;
3)对于对戒BD,由于只有一半加成范围伤,血溅约等于175%范围伤;
4)第一条词缀(20范围伤)收益:6.47%;第二条词缀收益:6.07%,近似于戒指远古力量的输出收益,也是值得考虑的!
5。模型补充——先祖之锤的DPS计算
之前探讨无论是血贱还是范围伤,都只是一个相对增幅,并不能直观地反映出绝对值,而后者反而是玩家们更关注的对象。
举个实际点的例子,你周围有10个怪,怪有1000E血,你需要多久才能击杀掉他(们)呢?
这个问题主要有三个分支:
1) 推进度时你需要多少时间击杀掉全部怪?——定义为AOE效率,适用于SOLO推图;
2) 你需要多少时间击杀一只怪?——定义为点炮效率,适用于组队点炮;
3) 你需要多少时间击杀BOSS?——定义为BOSS效率。
1)无疑可以套用我的模型计算:
血溅收益为0.1334(m-1),范围伤收益为(k-1)*0.2*范围伤数值
2)而第二种情况参考下文:
刀锋边缘《[野蛮人职业讲堂-第六期]溅射伤害详解,血溅十方和范围伤害》
血溅收益为0.1334(n-1),范围伤收益为(n-1)*0.2*范围伤数值
3)本章先不考虑,我打算单独写一章!
参考刘尔逊《野蛮人职业讲堂第10期:双持血锤蛮(视频上传中)》中的部分数据,代入表4,修改部分公式得到表格5和表格6
表格5:单人先祖之锤流的DPS估算
我们可以得到结论:
1)先祖之锤在单人时DPS高达314E 先祖锤输出占绝对主力,达到 307E;
2)考虑到怪物个数问题,先祖之锤每秒总输出达到 1652E, 其中锤子输出1484E,增痛宝石输出168E,大约9:1。
表格6:组队先祖之锤流的DPS估算
组队时,我们忽略屏幕怪数少于20个的情形,修改公式计算,得到表6:
我们可以得到结论:
1)先祖之锤在组队时DPS高达 457E 先祖锤输出占绝对主力,达到 450E;
2)根据Zbyxzh的《大秘境数据一表通 2.3正式版》以及《2.3秘境怪物进度表(理论值)(9月17日更新)》
我们可以知道4人70层适合点炮的怪物血量大约是 1500E,所以点炮时间大约为3.28秒
3)按照层数的增加,我们得到点炮时间表(表7)
可以看出,在装备毕业的情况下,高达80层也只需要16秒左右引爆,可见锤蛮的伤害还是妥妥的!
4)该表的力量基数是1W,高巅峰玩家请乘以系数(力量/10000)得到各自的DPS。