
本篇讨论的主题是:
如何在水晶期间造成尽量多的伤害?
这里会涉及到很多火法相关的机制,比如N+N类的手法,点燃机制,精通和目标个数的影响,甚至GCD。
以下手法全部建立在已经获得1+1的情况下,放下晶体,进行爆发:
手法1(简单说就是3连):火球+炎爆,炎爆,炎爆,燃烧+炼狱冲击,冲击波,冲击波,龙息术,急速冷却+龙息术;
手法2(即3+1+1):火球+炎爆,炎爆,炎爆,炼狱冲击,炎爆,燃烧+炼狱冲击,龙息术,急速冷却+龙息术,冲击波,冲击波;
手法3(即2+1+2):火球+炎爆,炎爆,炼狱冲击,炎爆,炎爆,燃烧+炼狱冲击,龙息术,急速冷却+龙息术,冲击波,冲击波;
实际运用中,我们会发现,手法2和3的龙息术和冲击波往往来不及释放,或者说根据自身急速实际情况打不完红字部分,这在后面会详细分类。
可以看出手法2和手法3在技能释放上只有顺序的不同,但是由于点燃的机制,两种手法造成的燃烧每跳伤害却是有差别的。
时间轴如下:

注意晶体由于很早以前的补丁的改动,持续时间是11.5s,是为了弥补放下晶体所花费的GCD,表格中起始时间设置为0其实是我的疏忽,应该设置为1.5s。
为了尽量做到清晰易懂,我在这里解释一下点燃的机制:
直接伤害的一定百分比(等同于精通)存入点燃池,在接下来的5s内每秒造成一次伤害,即每跳造成20%的点燃池总伤害,在当前点燃跳完之前加入新的点燃的话,点燃持续时间变为6s,依然每秒跳一次,每跳伤害就变成了16.67%的点燃池总伤害。
可以说,火法的点燃时间几乎一直在被刷新成6s,由于火法GCD上限的缘故(无法降低到1s以下),因此每个GCD必然会漏掉一跳点燃。
这就解释了为何有人会遇见的“为什么我在三连炎爆后加入炼狱冲击再燃烧,结果燃烧每跳还不如三连后直接燃烧呢?”正是因为炼狱冲击提供的点燃池增量弥补不了花费它的GCD漏掉的那一跳点燃伤害,因此才出现明明增加了技能但是点燃伤害反而下降的情况。
但是这不代表杜绝炼狱冲击,从后面的计算就可以看出,炼狱冲击后只要衔接哪怕1个炎爆术,点燃的伤害瞬间就被提上来了。
在matlab中用代码表示计算过程:

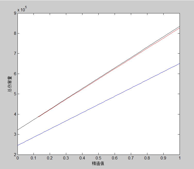
在接下来的所有图线中,手法1为蓝线,手法2为红线,手法3为黑线。
先比较一下3种手法的点燃池总量到底有多大差别。

随着精通的变化,三种手法的点燃池总伤害是3>2>1
单纯从制造燃烧的角度来看,手法1完败了。
但是别忘了,我们的目的是在晶体期间造成尽量多的伤害,燃烧是重要的一方面,但是不是全部。
从代码里实际数据可以看出,火法现今的技能单次伤害排序为:龙息术 > 冲击波 > 炎爆术 > 火球 > 炼狱冲击
充分利用了龙息和冲击波的手法1会不会有逆袭表现呢?
在计算中我对手法123设置了几套不同的方案:
A:近战位方案-手法1正常进行,手法23只有双龙息
B:近战位方案-手法1正常进行,手法23只有单龙息
C:远程位方案-3种手法均无龙息术,手法23单冲击波
D:远程位方案-3种手法均无龙息术,手法23双冲击波
而且,还要考虑目标个数不同、精通值不同时各种方案是否也有不同的表现。











